Quality changes in Murta (Ugni molinae) under frozen home storage

 

Cambios de calidad en Murta (Ugni molinae) almacenado en congelación doméstica

 

Roberto Quevedo-Leóna*; José Miguel Bastias-Montesb; Edgar Uquichec; Alejandro Lespinardd;

Ociel Muñoz-Fariñae; Teófilo Espinoza-Telleza

 

a Departamento de Acuicultura y Recursos Agroalimentarios. Programa FITOGEN. Universidad de Los Lagos, Osorno, Chile.

b Departamento de Ingeniería en Alimentos, Universidad del Bío-Bío, Av. Andrés Bello 720, Chillán, Chile.

c Department of Chemical Engineering, Center of Food Biotechnology and Bioseparations, BIOREN, Universidad de La Frontera (UFRO), Av. Francisco Salazar 01145, Temuco, Chile.

d Instituto Multidisciplinario de Investigación y Transferencia Agroalimentaria y Biotecnológica (IMITAB), CONICET - Instituto de Ciencias Básicas y Aplicadas, Universidad Nacional de Villa María, Av. Arturo Jauretche 1555, (5900), Villa María, Córdoba, Argentina.

e Instituto de Ciencia y Tecnología de los Alimentos, Universidad Austral de Chile, Valdivia, Chile.

 

* Autor corresponsal: R. Quevedo-León [ rquevedo@ulagos.cl | https://orcid.org/0000-0001-8132-838X ]

J. M. Bastias-Montes [ jobastias@ubiobio.cl | https://orcid.org/0000-0003-3387-6917 ]

 E. Uquiche [ edgar.uquiche@ufrontera.cl | https://orcid.org/0000-0003-0343-3410 ] 

A. Lespinard [ alespinard@conicet.gov.ar | https://orcid.org/0000-0001-9466-1771 ]

O. Muñoz-Fariña [ ocielmunoz@uach.cl | https://orcid.org/0000-0002-2445-4336 ]

T. Espinoza-Tellez [ teofilo.espinoza@ulagos.cl | https://orcid.org/0000-0003-1491-1051 ]

 


Abstract

Fruits, especially berries and their processed derivatives have been shown to contain good sources of bioactive compounds, such as vitamin C and phenolic compounds and antioxidant capacity. Frozen storage temperatures of -5, -10, and -15 °C were used to determine the kinetic degradation of vitamin C content, total phenol content, and antioxidant capacity in non-industrial home freezers. The kinetics were satisfactorily fitted to the Weibull model. The rate of degradation of vitamin C in Murta while in frozen storage was notably higher in comparison to that of the total phenol and the antioxidant capacity, respectively. The degradation rate of each component measured, correlated satisfactorily with the Arrhenius law. The arbitrary 70% loss in both vitamin C and antioxidant capacity can place the shelf-life of whole murta in frozen home storage within 240 days and 194 days.

 

Keywords: Murta; frozen storage; Weibull; Arrhenius; shelf-life.

 

 

Resumen

Se ha demostrado que las frutas, especialmente las bayas y sus derivados procesados, contienen buenas fuentes de compuestos bioactivos, como vitamina C y compuestos fenólicos y capacidad antioxidante. Se utilizaron temperaturas de almacenamiento en congelación de -5, -10 y -15 °C para determinar la degradación cinética del contenido de vitamina C, el contenido total de fenol y la capacidad antioxidante en congeladores domésticos no industriales. La cinética se ajustó satisfactoriamente al modelo de Weibull. La tasa de degradación de la vitamina C en Murta durante el almacenamiento en congelación fue notablemente mayor en comparación con la del fenol total y la capacidad antioxidante, respectivamente. La tasa de degradación de cada componente medido se correlacionó satisfactoriamente con la ley de Arrhenius. La pérdida arbitraria del 70% tanto en vitamina C como en capacidad antioxidante puede situar la vida útil de la murta entera en el almacenamiento doméstico congelado entre 240 y 194 días.

 

Palabras clave: Murta; almacenamiento congelado; Weibull; Arrhenius; vida útil.

 

 

 

 


  1. Introduction

 

Consumers have a preference for foods that contain bioactive properties, such as those that may have some beneficial health characteristics. (Bordim et al., 2021; Zokaityte et al., 2020). Fruits, especially berries and their processed derivatives, have been shown to contain good sources of bioactive compounds, such as vitamin C and phenolic compounds and antioxidant capacity (Bastías-Montes et al., 2019; Lopez et al., 2021; Vega-Galvez, Rodriguez, & Stucken, 2021) (Agullo, Garcia-Viguera, & Dominguez-Perles, 2021; Stanciu et al., 2019).

Murta (Ugni Molinae) is one of the many berries that contain nutritional properties as well as bioactive components; mainly antioxidants (Espinoza-Tellez et al., 2021; Rodriguez et al., 2014). Due to its acidic characteristics, murta, although consumed fresh, is preferably consumed as a by-product, in processed derivatives such as in the elaboration of juices (Ah-Hen et al., 2018; Guerra-Valle et al., 2021), elaboration of pulps or purees (Ah-Hen et al., 2012), and dehydrated ingredient (Lopez et al., 2017) among others. For the elaboration of most of the derivatives, murta is preferred to be preserved by freezing; and thus, be available at any time of the year.

Freezing allows the fruit to be available for at least a few months until it is used; however, little is known about the effects frozen storage temperature may have on active components such as vitamin C content, total phenol content and antioxidant capacity (DPPH). At the household level, fresh murta is stored at freezing temperatures in non-industrial home freezers, which usually maintain storage temperatures between -5 °C to -15 °C.

It is important to be able to estimate and predict the degree of deterioration of some properties in murta during freezing, it is also necessary to know their degradation rates, among other physical properties. For this reason, the objectives of this work were as follows: i) to determine the degradation kinetics of some physicochemical and bioactive properties in fresh murta (antioxidant activity, vitamin C content, phenol content, pH, soluble solids and color) when stored at temperatures of -5, -10 and -15 °C. ii) to model the kinetics to calculate the degradation rates of the mentioned indicators, and iii) to propose a shelf-life of the fruit based on losses in its antioxidant activity or vitamin C content.

 

  1. Metodology

 

2.1 Samples

One hundred and thirty-five kilograms of fresh murta was acquired from a local community in southern Chile. The fresh fruit contained 15.4 ± 0.3 solids soluble (°brix) with a pH value of 4.05 ± 0.2 (HANNA pH meter, HI 2221 model. The murta was distributed in a total of 135 bags with 0.5 kg for everyone.

 

2.2 Frozen storage 

Nine home freezers (± 1°C of sensitivity) were used and grouped into three subgroups of each storage temperature.  Each group of freezers was set up at -5 °C; -10 °C; -15 °C respectively. This system allowed the shelf-life experiment to be done in triplicate. 30 bags of murta contained 0.5 kg were stored in each freezer; and the kinetics were registered.

 

2.3 Kinetic sampling plan

To represent a point in the kinetics, three bags were sampled from each freezer and the mean, and standard deviation were calculated. The frequency of the sampling was: once per week, once per 15 days, and once per 20 days corresponding to -5 °C, -10 °C and -15 °C respectively. Before the analysis, samples were thawed by putting them in a refrigerator for 5 hours at 5 °C.

 

2.4 Physical-chemical analysis

Color parameters on rose hip pulp; luminance (L*), redness (a*) and yellowness (b*), were measured using a computer vision system according to Quevedo et al. (2014). The CVS consisted meanly of a Canon SX200 camera (image resolution 3000 by 4000 pixels). Soluble solids (Brix) were measured using a refractometer Abbe at 20 °C. pH value was measured using a pH – meter HANNA, model HI 2221

Vitamin C Ascorbic acid was extracted with meta-phosphoric acid (3% w/v) and analyzed by reversed phase HPLC in a HP Agilent 1100 series (Hewlett-Packard, Palo Alto, CA, USA) with autosampler and quaternary pump coupled to a diode array detector. The column used was a 3.9 × 300 mm column 10 µm, 125 Å, Waters, µBondapak™ C18 and elution (flow rate of 0.8 mL/min) was performed in isocratic condition with 2 mmol/L potassium chloride buffer (pH 2.5), monitored at 245 nm. Total ascorbic acid was estimated after the reduction of dehydroascorbic acid (DHA) with 10 mm dithiothreitol. Results were expressed as mg ascorbic acid equivalents (AAE)/g sample in dry weight (DW) (Fujita et al., 2013).

 The antioxidant capacity (DPPH) of the samples was estimated spectrophotometrically by determining the free radical scavenging capacity evaluated with the stable radical DPPH. The determinations were made in triplicate and results were calculated using a standard curve of ascorbic acid (AA) and expressed as mg AA equivalent/100 g FW (Van de Velde et al., 2016).

Total phenols content was measured. A Sample of 10 g was added with 40 mL of 0.5 M sodium phosphate buffer (pH 6.5) containing 20 g/L of polyvinyl-pyrrolidone (PPVP, Sigma). It was centrifuged at 2903 G-Force for 35 min at 4 °C and was filtered through Whatman Nº 1 filter paper, to obtain a supernatant (enzymatic extract. Total phenols were determined by the Prussian blue assay. 75 µL of the enzymatic extract was added to 625 µL of distilled water, followed by the addition of 3.0 mL of 0.10 M FeNH4(SO4)2 in 0.10 M HCl. After 20 minutes, 0.008 M K3 Fe (CN)6 was added. The absorbance was read after 20 minutes at 720nm. A standard curve was constructed using gallic acid and the result was expressed as milligram of Gallic Acid Equivalent on a fresh weight basis (mg GAE g-1 FW) (Quevedo et al., 2020).

 

2.6 Statistical treatment of data

The Equations were fitted to the data using nonlinear least-squares regression. To detect statistical differences between calculated kinetic rates at each temperature level, a t-student test (95 % of confidence) was performed.

 

 

  1. Results and discussion

 

Changes in vitamin C content (mg AA/100g) in murta in frozen storage are shown in Figure 1. The solid line shows the model fitted to the data (Eq. 1).  The initial vitamin C content in murta (34.1 ± 18 mg AA/100g) was lower in magnitude than that reported for orange juice (69 ± 30 AA mg/100 g), for the pulp of Camu-Camu (Myrciaria dubia) (1889 ± 68 mg / 100 g) (Fujita et al. 2013), or rosehip pulp (400 ± 18 mg / 100 g) (Quevedo et al. 2020). However, it was slightly higher when compared to that reported for blackberry (0.663 ± 0.06 mg / 100 g) or for cherries (0.463 ± 0.02 mg/100 g) (Valente et al., 2014).

 


Figure 1. Degradation kinetics of Vitamin C at -5, -15 and -15° C during frozen storage. Solid line corresponds to the fit model (Eq. 1).


The vitamin C content in murta decreased with frozen storage time, its values decreased from 34.1 ± 18 mg ascorbic acid / 100 g to a minimum value of 5.7 ± 18 mg ascorbic acid / 100 g; in approximately 5 months of frozen storage; that is, a decrease of 84.3% of its initial content. In general, the higher the frozen storage temperature, the faster the degradation rate (Table 1). The rate of vitamin C degradation during frozen sto-rage was comparatively higher (0.262 to 0.142 day-1) than those reported for other frozen berries; for example, in frozen strawberries (Stanciu et al., 2019; Valente et al., 2014) (between 0.0477 to 0.0048 day-1 when stored between -5 °C to -16 °C); or in rosehip pulp (0.0477 to 0.0048 day-1, between -5 °C to - 20°C). (Quevedo et al., 2020). 

Figure 2 shows the kinetics corresponding to the content of total phenols in murta stored at -5 °C, -10 °C, and -15 °C, respectively. The level of total polyphe-nols decreased from 174 mg GA/100 g to 16.4 mg GA/100 g during frozen storage. López de Dicastillo et al. (2017) reported initial values of total phenolics in murta are between 20 and 40 mg GA/100 g; which is somewhat lower than the values reported in the present study. This variation may be due to compo-sitional and maturity stage differences in the fruit, even so, these ranges show a good source of phenolic components in murta. The degradation rates of total phenol content presented in Table 1 were calculated from the fit of equation 1 to the experimental kinetic data and were comparatively lower than the degradation rates of vitamin C under the same storage conditions. The rapid degradation of total phenols during frozen storage in murta partly explains the loss of their antioxidant capacity. It is now known that phenols in fruits have potential health benefits due to their antioxidant capacity (Haque et al., 2021).

Figure 3 shows the kinetics of antioxidant capacity in murta as measured by the DPPH technique based on AA. The levels of antioxidant capacity in the samples ranged from 200 ± 20 mg AA/100g to 70 ± 30 mg AA/100g during frozen storage, values well below those reported for rosehip pupae (1755 ± 30 mg AA/100g to 722 ± 30 mg AA/100g) or for fresh blackberry (800 ± 50 mg/100g of AA) (Quevedo et al., 2020). In general, there are many ways to measure and express antioxidant capacity, as such making a comparison may be difficult to do (Haque et al., 2021). However, the results specific to murta in this experiment show unequivocally that the antioxidant capacity (DPPH) decreased under frozen storage temperatures. Table 1 shows the rates of change of components studied in murta stored under frozen conditions. The rate of vitamin C degradation was higher in magnitude (in absolute value) when compared to the degradation rates of antioxidant capacity at frozen storage temperatures. Overall, the antioxidant capacity in murta can be reduced to less than half within 150 days in frozen storage.


 

 

Figure 2. Kinetics of phenol (Phe) content at -5, -15 and -15° C during frozen storage. Solid line corresponds to the fit model (Eq. 1).

Figure 3. Kinetics of antioxidant capacity (AC; DPPH) at -5, -15 and -15 °C during frozen storage. Solid line corresponds to the fit model (Eq. 1).

 


Table 1

Rate parameters k (min-1), calculated from the fitting the Weibull model (Equation 1) to the kinetic data.

 

Temperature(°C)

KVitamin C

KPhenols content

KAntioxidant Capacity

-5 °C

0.262a

0.243d

0.191e

- 10 °C

0.233b

0.193e

0.142c

- 15 °C

0.142c

0.160f

0.097i

   deviation*

(± 0.003)

(± 0.004)

± (0.002)

* Average of the standard deviation. In the Table, a different subscript letter is indicative of a statistical difference at 95% of confidence.

 

The relationship between the degradation rates of vitamin C, total phenol content and antioxidant capacity (DPPH) with temperature (°K) is shown in Figure 4. In all cases, the degradation rates (in absolute value) decrease when murta is stored at a lower temperature.

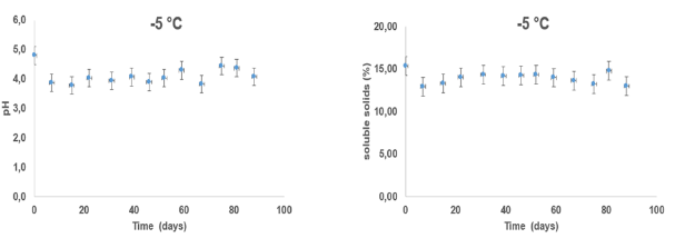
In Figure 5, the kinetics of pH and soluble solids at -5 °C during frozen storage of murta are shown, respectively. Soluble solids and pH values remained virtually unchanged (non-significant changes) throughout the experiment and for all frozen storage temperatures. Soluble solids ranged from 12.9 to 14.8%, while pH ranged from 4.0 to 4.5 units.

Figure 6 shows the kinetics for color intensities L* (lightness), a* (redness) and b* (yellowness). The color intensities L*, a* and b*, decreased slightly in frozen storage; these decreases were very similar at all three storage temperatures. The lightness value (L*) decree-sed from 34.9 to 27.3 units; the redness value changed from 25.2 to 14.1; and the yellowness from 6.6 to 1.5 units at -5 °C storage temperature.

Determining shelf-life based on its components or beneficial characteristics in food is a current challenge for industry and consumers; generally, the indicators used to delimit shelf-life are associated with those that affect food safety or loss of sensory characteristics. However, shelf-life could also be limited by the loss of components associated with health and/or nutritional benefits. There is little information about minimum acceptable values for bioactive components, such as vitamin C, or for an indicator related to antioxidant capacity (DPPH). However, a 50% reduction in antioxidant capacity (using DPPH) and a 30% reduction in vitamin C content were arbitrarily considered as the minimally acceptable conditions for determining the shelf-life of a fruit pulp according to Quevedo et al. (2020) and Dermesonlouoglou et al. (2016). For this study, a 70% reduction of both the antioxidant capacity (using DPPH) and the vitamin C content was considered acceptable. Table 2 reports the shelf-life of frozen murta according to a much higher loss (70 %) for each frozen storage temperature experienced. The shelf-life predictions were calculated using Equations 1 and 2.


 

 

Figure 4. Relationship between the kinetic rate vs temperature of frozen storage (derived from the application of the Arrhenius model, eq. 2) for vitamin C (vit); phenol content (Phe) and antioxidant capacity (AC), respectively.

 

 

 

 

Figure 5 Kinetics of pH in whole murta at -5, -15 and -15° C during frozen storage.

 

 

 

Table 2

Shelf-life (days) for fresh murta with a loss of 70% of its initial value and stored in a frozen environment at three temperatures.

 

Indicator

-5 °C

-10 °C

-15 °C

Vitamin C (30 % retention)

49

63

240

Antioxidant capacity (DPPH) (30 % retention)

46

86

194

 

Figure 6 Kinetics of L*, a* and b* at -5, -15 and -15° C in whole murta during frozen storage.

 

 


  1. Conclusions

 

The kinetics of vitamin C content, total phenol content and antioxidant capacity in fresh murta and murta subjected to frozen storage (-5 °C; -10 °C, -15 °C) were determined. The kinetics were satisfactorily fitted to the Weibull model. The degradation of vitamin C in murta during frozen storage was higher than the degradation rate of total phenols and antioxidant capacity, respectively. The degradation rates correlated satisfactorily with the Arrhenius law. Considering an arbitrary 70% loss in vitamin C content and antioxidant capacity (DPPH) the shelf-life of murta in freezing can be set at 240 days (vitamin C) to 194 days (antioxidant capacity) at -15 °C, respectively.

 

Acknowledgments

The authors thank to the project INTAPL20-19, Universidad de Los Lagos.

 

Conflicts of Interest

The authors declare no conflict of interest.

 

References

 

Agullo, V., Garcia-Viguera, C., & Dominguez-Perles, R. (2021). Beverages Based on Second Quality Citrus Fruits and Maqui Berry, a Source of Bioactive (Poly)Phenols: Sorting Out Urine Metabolites upon a Longitudinal Study. Nutrients, 13(2), 312.

Ah-Hen, K. S., Mathias-Rettig, K., Gomez-Perez, L. S., Riquelme-Asenjo, G., Lemus-Mondaca, R., & Munoz-Farina, O. (2018). Bioaccessibility of Bioactive Compounds and Antioxidant Activity in Murta (Ugni Molinae T.) Berries Juices. Journal of Food Measurement and Characterization, 12(1), 602–615.

Ah-Hen, K. S., Vega-Galvez, A., Moraga, N. O., & Lemus-Mondaca, R. (2012). Modelling of Rheological Behaviour of Pulps and Purees from Fresh and Frozen-Thawed Murta (Ugni Molinae Turcz) Berries. International Journal of Food Engineering, 8(3). https://doi.org/10.1515/1556-3758.2738

Bastías-Montes, J. M., C. Vidal-San Martín, O. Muñoz-Fariña, G. Petzold-Maldonado, R. Quevedo-León, H. Wang, Y. Yi, and C. L. Céspedes-Acuña. (2019). Cryoconcentration Procedure for Aqueous Extracts of Maqui Fruits Prepared by Centrifugation and Filtration from Fruits Harvested in Different Years from the Same Localities. Journal of Berry Research, 9(3), 377-394.

Bordim, J., Lise, C. C., Marques, C., Cadorin Oldoni, T., Varela, P., & Mitterer-Daltoe, M. L. (2021). Potential Use of Naturally Colored Antioxidants in the Food Industry-A Study of Consumers’ Perception and Acceptance. Journal of Sensory Studies, 36(4), e12657.

Dermesonlouoglou, E. K., Giannakourou, M., & Taoukis, P. S. (2016). Kinetic Study of the Effect of the Osmotic Dehydration Pre-Treatment with Alternative Osmotic Solutes to the Shelf Life of Frozen Strawberry. Food and Bioproducts Processing, 99, 212–21.

Espinoza-Tellez, T., Bastías-Montes, J. M., Quevedo-León, R., Valencia-Aguilar, E., Díaz-Carrasco, O., Solano-Cornejo, M. A., & Mesa-Mesina, F. (2021). La Murta (Ugni Molinae) y Sus Propiedades Benéficas Para La Salud: Una Revisión. Scientia Agropecuaria, 12(1), 121–31.

Fujita, A., Borges, K., Correia, R., Franco, B. D. G. D., & Genovese, M. I. (2013). Impact of Spouted Bed Drying on Bioactive Compounds, Antimicrobial and Antioxidant Activities of Commercial Frozen Pulp of Camu-Camu (Myrciaria Dubia Mc. Vaugh). Food Research International, 54(1), 495–500.

Guerra-Valle, M., Lillo-Perez, S., Petzold, G., & Orellana-Palma, P. (2021). Effect of Freeze Crystallization on Quality Properties of Two Endemic Patagonian Berries Juices: Murta (Ugni Molinae) and Arrayan (Luma Apiculata). Foods, 10(2), 466.

Haque, M. A., Morozova, K., Ferrentino, G., & Scampicchio, M. (2021). Electrochemical Methods to Evaluate the Antioxidant Activity and Capacity of Foods: A Review. Electroanalysis, 33(6), 1419–1435.

López de Dicastillo, C., Bustos, F., Valenzuela, X., López-Carballo, G., Vilariño, J. M., & Galotto, M. J. (2017). Chilean Berry Ugni Molinae Turcz. Fruit and Leaves Extracts with Interesting Antioxidant, Antimicrobial and Tyrosinase Inhibitory Properties. Food Research International, 102,119–128.

Lopez, J., Ah-Hen, K. S., Vega-Galvez, A., Morales A., Garcia-Segovia, P., & Uribe, E. (2017). Effects of Drying Methods on Quality Attributes of Murta (Ugni Molinae Turcz) Berries: Bioactivity, Nutritional Aspects, Texture Profile, Microstructure and Functional Properties. Journal of food process engineering, 40(4), e12511.

Lopez, J., Vera, C., Bustos, R., & Florez-Mendez, J. (2021). Native Berries of Chile: A Comprehensive Review on Nutritional Aspects, Functional Properties, and Potential Health Benefits. Journal of food measurement and characterization, 15(2), 1139–1160.

Martins, R. C., & Silva, C. L. M. M. (2002). Modelling Colour and Chlorophyll Lossed of Frozen Green Beans (Phaseolus Vulgaris L.). International Journal of Refrigeration, 25, 966–974.

Quevedo, R., Valencia, E., López, P., Gunckel, E., Pedreschi, F., & Bastías, J. (2014). Characterizing the Variability of Enzymatic Browning in Fresh-Cut Apple Slices. Food and Bioprocess Technology, 7(5), 1526-1532.

Quevedo, R., Valencia, E., Pedreschi, F., Diaz, O., Bastias-Montes, J., Siche, R., & Muñoz, O. (2020). Kinetic Deterioration and Shelf Life in Rose Hip Pulp during Frozen Storage. Journal of berry research, 10(2), 133–143.

Rodriguez, K., Ah-Hen, K., Vega-Galvez, A., Lopez, J., Quispe-Fuentes, I., Lemus-Mondaca, R., & Galvez-Ranilla, L. (2014). Changes in Bioactive Compounds and Antioxidant Activity during Convective Drying of Murta (Ugni Molinae T.) Berries. International journal of food science and technology, 49(4), 990–1000.

Stanciu, G., Lupsor, S., Tomescu, A., & Sirbu, R. (2019). Evaluation of Antioxidant Capacities and Phenols Composition of Wild and Cultivated Berries. Revista de chimie, 70(2), 373–377.

Valente, A., Sanches-Silva, A., Albuquerque, T. G., & Costa, H. S. (2014). Development of an Orange Juice In-House Reference Material and Its Application to Guarantee the Quality of Vitamin C Determination in Fruits, Juices and Fruit Pulps. Food chemistry, 154, 71–77.

Vega-Galvez, A., Rodriguez, A., & Stucken, K. (2021). Antioxidant, Functional Properties and Health-Promoting Potential of Native South American Berries: A Review. Journal of the science of food and agriculture, 101(2), 364–378.

Van de Velde, F., Grace, M. H., Esposito, D., Pirovani, M. E., & Lila, M. A. (2016). Quantitative Comparison of Phytochemical Profile, Antioxidant, and Anti-Inflammatory Properties of Blackberry Fruits Adapted to Argentina. Journal of Food Composition and Analysis, 47, 82–91.

Zokaityte, E., Lele, V., Starkute, V., Zavistanaviciute, P., Cernauskas, D., Klupsaite, D., Ruzauskas, M., Alisauskaite, J., Baltrusaityte, A., Dapsas, M., Siriakovaite, K., Trunce, S., Guine, R. P. F., Viskelis, P., Steibliene, V., & Bartkiene, E. (2020). Antimicrobial, Antioxidant, Sensory Properties, and Emotions Induced for the Consumers of Nutraceutical Beverages Developed from Technological Functionalised Food Industry By-Products. Foods, 9(11), 1620.